MIDES inició proceso de arbitraje en contra de la alcaldía de San Salvador por incumplimiento de contrato y deuda de 2 millones de dólares
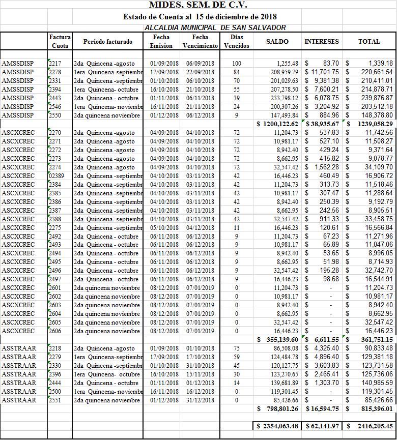
La empresa Manejo Integral de Desechos Sólidos (MIDES) presentó una demanda de arbitraje a la alcaldía de San Salvador, liderada por Ernesto Mushondt, por incumplimiento de contrato y por una deuda que asciéndete a los $2 millones 725 mil.
La demanda se presentó el pasado 4 de enero.
Representantes jurídicos de la empresa denunciaron que la alcaldía capitalina lanzó el pasado 24 de diciembre, a la media noche en una sesión de concejo privada, una licitación para traslado de la basura desde la planta de Aragón al relleno sanitario contratado con MIDES dando solamente un día para presentar ofertas, fianzas y cumplir con una serie de requisitos, lo cual fue calificado como la “licitación más oscura en 20 años de colaborar con la alcaldía de San Salvador”.
A juicio de la empresa MIDES, la oscuridad de lanzar la licitación el 24 de diciembre a la media noche es “para justificar adjudicar a otra empresa el contrato”.
La alcaldía adeuda el pago de la disposición final de residuos y otros servicios desde la segunda quincena del mes de agosto de 2018.

